近日, 航空科凯发
工程凯发
陈曦教授与纽约大学K.R. Sreenivasan教授二人, 在《美国国家科凯发
院刊》(PNAS)发表了题为“Bounded dissipation law and profiles of turbulent velocity moments in wall flows”的研究论文,其中陈曦为第一作者、共同通讯作者。该论文给出了速度高阶矩离开壁面变化的理论公式,并与经典的剑桥大学Townsend附着涡理论进行了全面比对,进一步发展和论证了作者此前建立的有限耗散率理论(2022年JFM Focus)。
在基础科学领域,极高雷诺数湍流的统计不变性是核心挑战之一。自普朗特与冯·卡门在20世纪初提出边界层理论之后,关于湍流脉动量的研究一直备受关注,也是二方程、高阶矩湍流建模的关键。早在五十年前,剑桥大学Townsend教授提出了附着涡理论,其影响广泛,至今已有三代学者深耕其中。该理论认为,速度脉动各阶矩在边界层外区随壁面距离的增加呈对数变化:
Eq.1
其中,类比为平均速度对数律的卡门常数,系数
被称之为Townsend-Perry常数,代表性学者如普林斯顿大学Smits教授(2020年Batchelor Prize获得者)、约翰霍普金斯大学Meneveau教授(2024年Batchelor Prize获得者),以及墨尔本大学Marusic教授(2017年Stanley Corrsin 奖获得者)等。
对此,陈曦与Sreenivasan在PNAS论文中提出了异议。他们在前期发展的耗散极值理论基础上,给出了高阶矩新的有界幂次律:
Eq.2
其中,主导项
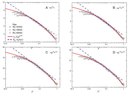
为常数,且随阶数q的增加呈线性增长,满足线性-q范数的高斯过程(LQNG)。通过对比三类规范的边界层流动,如平板边界层、圆管和槽道湍流的实验以及直接数值模拟数据,新的理论在更宽流动范围(壁面距离y+=200至边界层厚度)和更大雷诺数范围(摩擦雷诺数
=5200∼20300)获得数据支持,表现比附着涡对数律更优,如下图1-2所示:

图 1 湍流边界层流向速度脉动的各阶矩分布。(A)虚线:附着涡模型Eq.1 (Meneveau & Marusic, 2013 JFM);(B)实线:有界耗散率理论Eq.2 (Chen & Sreenivasan, 2025 PNAS). 图中符号是平板边界层的实验数据(Hutchins et al 2009 JFM),不同颜色代表不同阶次。

图 2 湍流边界层流向速度脉动的各阶矩分布。(A)2阶矩;(B)4阶矩;(C)6阶矩;(D)10阶矩。蓝色虚线:附着涡模型Eq.1 (Hultmark et al, 2012 PRL);(B)红色实线:有界耗散率理论Eq.2 (Chen & Sreenivasan, 2025 PNAS)。图中符号是圆管湍流的实验数据。
值得指出的是,这是陈曦教授与Sreenivasan教授(美国科凯发
、工程院院士)两人合作的第四篇理论工作,北航均为第一单位。前面三篇(Chen & Sreenivasan 2021, 2022, 2023 JFM)已在学术界引起广泛关注,如:2024年,在沙特KAUST大学召开的壁湍流国际专题研讨会“Outstanding challenges in wall turbulence and lessons to be learned from pipes”(2024-KAUST),陈曦教授的工作成为大会五大主题之一;同年,美国物理协会流体力学年会(2024-APS-DFD),伊利诺伊理工大学H. Nagib教授以验证有限耗散率理论为两大结果之一给出了大会邀请报告。
陈曦教授的这项工作受到了国家自然科学基金委湍流重大专项(No.92252201)和北航理工交叉“十大科学问题”的支持。

作者简介:陈曦,凯发
教授,中国力学学会湍流与稳定性专业组组员。2002-2014年北京大学本、博、博后;2015–2019年在美国德州理工大学研究助理教授;2019年国家海外高层次青年人才引进回国。现担任多个SCI期刊编委,承担多项国家科研项目。
论文地址: